A new research paper was published in Volume 17, Issue 7 of Aging (Aging-US) on July 21, 2025, titled “Association of DNA methylation age acceleration with digital clock drawing test performance: the Framingham Heart Study.”
Aging (Aging-US) Authors

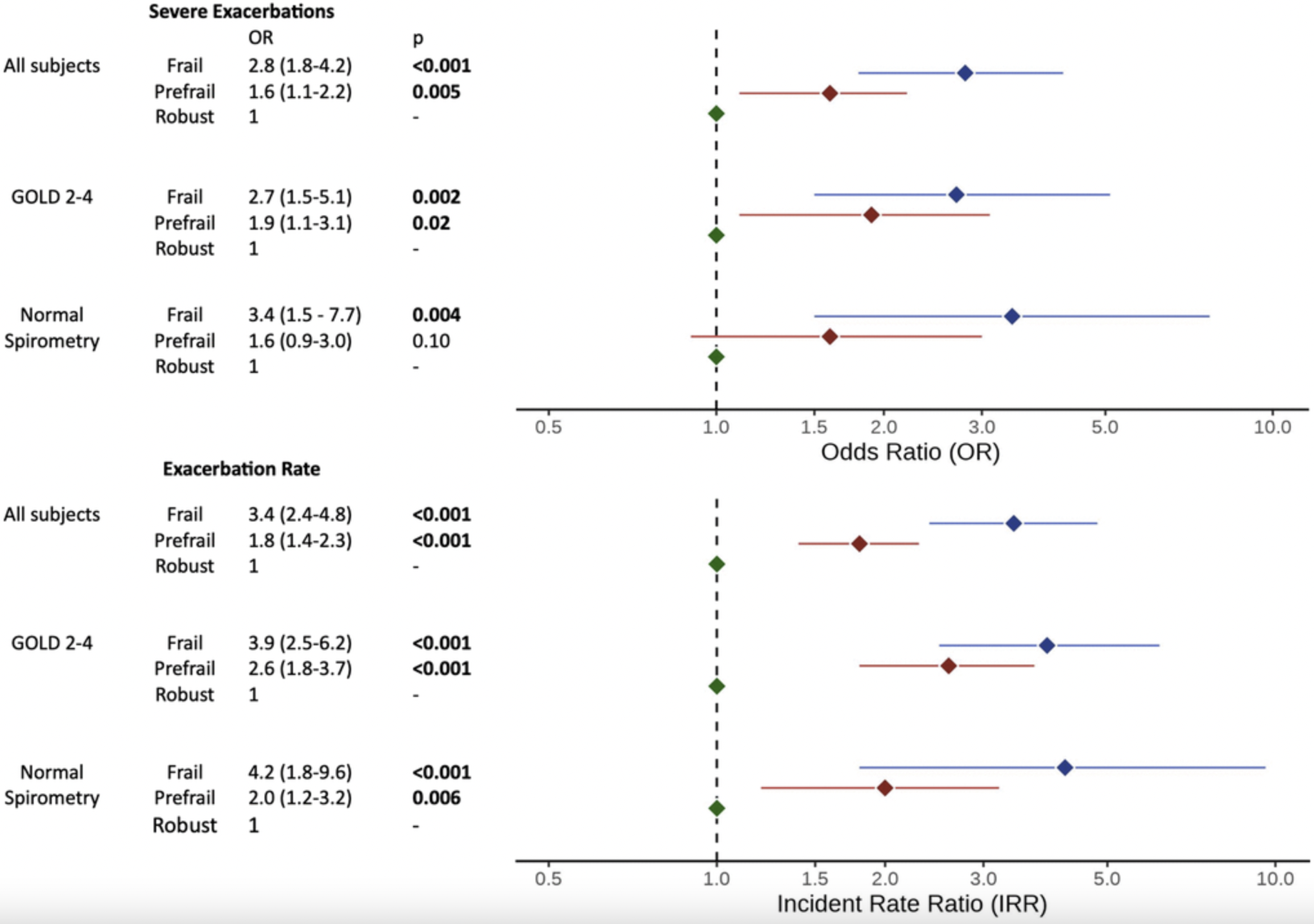
A new research paper was published in Volume 17, Issue 7 of Aging (Aging-US) on July 3, 2025, titled “Frailty associates with respiratory exacerbations and mortality in the COPDGene cohort.”

A new research perspective was published in Aging (Aging-US) on July 8, 2025, titled “Exercise as a geroprotector: focusing on epigenetic aging.”

A new research paper was published in Aging (Aging-US) on July 23, 2025, titled “Second generation DNA methylation age predicts cognitive change in midlife: the moderating role of childhood socioeconomic status.”

Dr. Andres Cardenas joins host Dr. Evgeniy Galimov to discuss “Exposome-wide association study of environmental chemical exposures and epigenetic aging in the National Health and Nutrition Examination Survey.”

A new editorial was published in Aging (Aging-US) Volume 17, Issue 5, on May 29, 2025, titled “Rethinking healthcare through aging biology.”

A new research paper was published in Aging (Aging-US) Volume 17, Issue 3, on March 18, 2025, titled “Epigenetic and accelerated age in captive olive baboons (Papio anubis), and relationships with walking speed and fine motor performance.”

A new research paper was published in Aging (Aging-US) Volume 17, Issue 3, on March 14, 2025, titled “Effects of a natural ingredients-based intervention targeting the hallmarks of aging on epigenetic clocks, physical function, and body composition: a single-arm clinical trial.”

A new research paper was published in Aging (Aging-US) on February 11, 2025, Volume 17, Issue 2, titled “Exposome-wide association study of environmental chemical exposures and epigenetic aging in the national health and nutrition examination survey.”

A new research paper was published in Aging (Aging-US) on January 22, 2025, in Volume 17, Issue 1, titled “EpiAge: a next-generation sequencing-based ELOVL2 epigenetic clock for biological age assessment in saliva and blood across health and disease.”